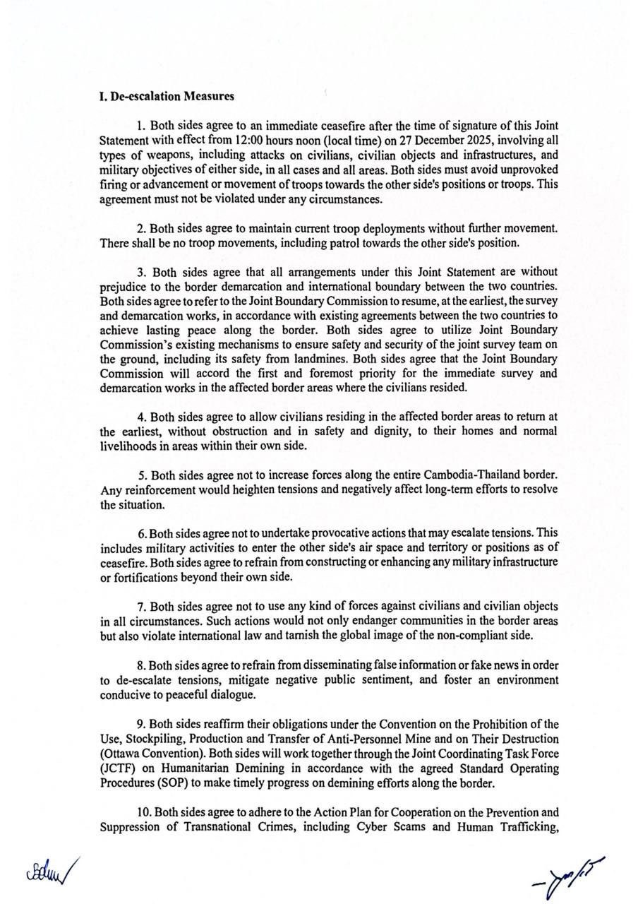
Cambodia and Thailand Agree on Immediate Border Ceasefire
High-level defence officials from Thailand and Cambodia have signed a joint statement establishing an immediate ceasefire and a framework for de-escalation along the shared border.
The agreement was signed between H.E. General Tea Seiha, Cambodian Minister of National Defence, and his Thai counterpart, H.E. General Nattaphon Narkphanit, at the 3rd Special General Border Committee (GBC) meeting held at Ban Pak Kard-Prum International Point of Entry, following weeks of heightened tensions.
The most critical outcome of the agreement is the announcement of an immediate ceasefire, effective as of 12:00 PM (local time) on December 27. The agreement strictly prohibits:
- The use of all types of weapons.
- Attacks on civilians and infrastructure.
- The movement or advancement of troops from their current positions.
- The use of military force in the air or on the ground.
Both nations have pledged to maintain current troop deployments without further reinforcement, a move designed to prevent miscalculation and lower the military temperature.
The agreement also prioritises the restoration of normalcy and return of displaced civilians to their homes “in safety and dignity”, prohibiting any military action against civilian infrastructure.
Furthermore, the Joint Boundary Commission (JBC) has been directed to resume survey and demarcation work immediately. Priority will be given to affected residential areas to ensure long-term legal clarity and safety. Both sides also reaffirmed their commitment to the Ottawa Convention on landmines, pledging to work through a Joint Coordinating Task Force to clear deadly explosives from the border zones.
The ASEAN Observer Team (AOT) will play a central role in verifying the ceasefire and ensuring both sides adhere to the stated de-escalation measures. In line with previous diplomatic agreements, 18 Cambodian soldiers are also scheduled to be returned to Cambodia once the ceasefire has been successfully maintained for 72 hours.
The statement further includes a commitment to cooperate on transnational issues, such as cyber scams and human trafficking, as well as on combatting misinformation and disinformation, with direct communication lines established between defence leadership and official media teams to prevent future misunderstandings. Both parties emphasised that the outlined measures are without prejudice to future border demarcation and are intended to foster a "new chapter" of neighbourly relations.


